전체 탐색의 경우 for 반복문으로 구현이 가능하다.
하지만, 배열을 단순히 살펴보는 것으로 문제를 풀 수 없는 경우가 있다.
이를 해결하기 위해 효과적인 그래프 탐색 알고리즘이 필요하다.
1. 그래프 탐색 알고리즘
이름에서 알 수 있듯이, 주어진 상황을 그래프로 표현하여 효율적인 탐색을 한다.
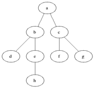
이때, 효율적인 탐색으로 크게 깊이 우선 탐색(DFS)과 너비 우선 탐색(BFS)이 있다.
그림 출처 : 위키백과(wikipedia)
![]() |
![]() |
| 깊이 우선 탐색(DFS) | 너비 우선 탐색(BFS) |
용어 설명
- 노드(정점): 그림의 동그라미들
- 엣지(변) : 동그라미를 잇는 선
- 그래프 : 정점과 변으로 표현되는 구조
- 트리 구조 : 정점과 변에 루프(한 바퀴 돌 수 있는 부분)가 없는 구조
- 탐색 : 정점을 하나씩 확인하는 것
2. 깊이 우선 탐색(DFS)
탐색 순서 : 연필 한 획 그리기와 같이 끊어지지 않고 모든 정점을 돌아다닌다고 생각
- 최대한 왼쪽으로 깊게 정점을 탐색한다.
- 만약, 자식 없는 정점까지 탐색하면 가장 가까운 탐색이 끝나지 않는 정점으로 돌아와 탐색을 계속 진행한다.
- 메모리 사용 시 추가된 정점 중 가장 최근 것을 이용(스택)
- 이전 정점으로 돌아와야 하기 때문
구현 방법 : 스택, 재귀 함수를 사용
int dfs(int now)
{
if(현재 상태 now가 끝나는 조건)
return 현재 상태 now 값;
int ret = -1;
for(int i = 0; i < 다음 상태 개수; i++)
{
int next = i번째 다음 상태;
if(next가 조건을 만족하는 경우)
ret = max(dfs(next), ret);
}
return ret;
}
3. 너비 우선 탐색(BFS)
탐색 순서 : 최근 탐색한 정점의 바로 다음 단계 정점을 차근차근 탐색
- 깊이가 얕은 순서로 왼쪽부터 차근차근 정점을 탐색한다.
- 메모리에 추가된 정점 중 오래된 것부터 차례대로 탐색(큐)
- 가까운 순서로 탐색하므로 나중에 발견된 정점은 나중에 탐색
구현 방법 : 큐, 리스트, 배열을 사용
queue<T> q;
q.push(초기 상태);
while(!q.empty())
{
T now = q.front(); q.pop() //현재 상태 처리
for(int i =0; i < 다음 상태 개수; i++)
{
T next = i번째 다음 상태;
if(next를 방문했었는지 판정)
q.push();
}
}
4. 탐색 방법 선택 시 지표가 되는 요소들
깊이 우선 탐색을 사용하면 좋은 경우 : [대표] 피보나치 수열
- 모든 경로를 탐색하고 결과를 확인해야 하는 경우
- 문자열 등을 탐색할 때 '사전 순서로 앞에 오는 것'처럼 앞으로 검색해서 찾는 것이 빠른 경우
너비 우선 탐색을 사용하면 좋은 경우 : [대표] 최단 경로 문제
- 시작 지점에서 가장 가까운 것을 구하고 싶은 경우
- 탐색 범위 자체는 넓지만 어느 정도 근처에 구하고 싶은 해가 존재하는 것을 알고 있는 경우
- 탐색 범위가 굉장히 넓으며 깊이 우선 탐색을 사용 시 스택이 대량으로 사용되는 경우
728x90
반응형
'알고리즘' 카테고리의 다른 글
| [C++] 정렬 (0) | 2021.06.06 |
|---|---|
| [C++][BOJ/백준][단계별로 풀어보기] 5. 1차원 배열 (0) | 2021.06.06 |
| [C++] 기초 문법 (0) | 2021.06.03 |
| [C++][BOJ/백준][단계별로 풀어보기] 3. for문 (0) | 2021.05.28 |
| [C++][BOJ/백준][단계별로 풀어보기] 2. if문 (0) | 2021.05.28 |

